Do pastures under management-intensive rotational grazing (MIRG) differ from grasslands under other management in terms of forage quality and quantity, carbon sequestration and biological soil activity? Not everyone believes the answers are yes, so researchers at the University of Wisconsin-Madison decided to run some trials to find out, comparing management-intensive rotational grazing to continuous grazing, hay harvesting, and unmanaged grassland. Their results point to managed grazing as a tool for improving forage production and quality on pasture.
Gary Oates and Randy Jackson from the UW-Madison Agronomy Department conducted this research project at the UW-owned Franbrook Farm near New Glarus during the 2006 and 2007 growing seasons. The grazing season started in May and continued through October, providing six 30-day grazing cycles. Kentucky bluegrass and orchardgrass were the predominant grasses in all of the pastures. White clover was the dominant legume in the grazed plots, while birdsfoot trefoil was the dominant legume in the non-grazed plots. The researchers applied granular ammonium phosphate (11-44-0) fertilizer at the UW Extension recommended rate (50 lbs. N/acre) in early June of 2005, 2006 and 2007 to all plots except those under no agronomic management.
Continuous grazing
In this treatment, 25 cow-calf pairs grazed 20 acres for 28 days of every 30-day cycle. For two days of each 30-day cycle, the cattle were shifted to the MIRG plots.
Management intensive rotational grazing (MIRG)
The 25 cow-calf pairs from the continuous grazing treatment grazed a 1.5-acre paddock for two days in the MIRG plots, followed by a 28-day rest period. Typically, a six-inch residual was left after grazing. Cattle were returned to the paddocks on a 28-day schedule, rather than according to forage height and maturity, in order to hold the stocking rate constant between the continuous and MIRG grazing treatments.
Each cow-calf pair constituted 1.3 animal units (AU, or unit of 1,000 pounds of weight); each acre of rotationally grazed pasture had a stocking rate of 43.7 AU per month and each acre of the continuously grazed pasture had a comparable stocking rate of 45.3 AU per month. Over the course of the growing season, but mainly during the forage slump of summer, the livestock received feed supplements equivalent to 2.7 lb. hay DM (dry matter)/AU/day and 1 lb. cracked corn/AU/day in 2006, and 4.4 lb. hay DM/AU/day and 1.7 lb. cracked corn/AU/day in 2007.
Harvested and unmanaged forage systems
The remaining two treatments were managed without any livestock to mimic pastures enrolled in the Conservation Reserve Program (CRP). One of these forage systems consisted of plots of 0.75 acres each in which the plants were mechanically harvested to a stubble height of 2.5 inches in May, and again when the plants were 12 to 14 inches high. Because of dry conditions in 2006 and 2007, researchers made only two cuttings of hay. Average annual precipitation in this location is 35 inches; in 2006 the annual precipitation was 27 inches, and in 2007 it was 23 inches. The final control treatment consisted of 0.75-acre plots with no agronomic management, similar to land in the Conservation Reserve Program (CRP).
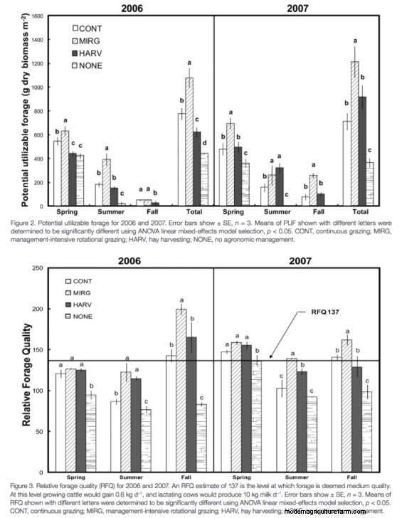
Monthly measurements showed that the potential utilizable forage from the MIRG plots was significantly higher than the other treatments. The plots with no management (CRP-like) had the lowest forage availability in both years. Looking at season-by-season data, the MIRG plots had significantly higher forage availability than all other treatments in spring and summer of 2006, while in 2007 this occurred in spring and fall. There was only one significant change in the makeup of the plant communities in the plots, and that was an increase in cool season grass cover in the harvested treatment.
The Relative Forage Quality (RFQ) of all treatments in the spring and summer of 2006 was less than 137. This is medium quality, providing the necessary nutrition for growing cattle to gain 1.3 pounds per head per day and lactating cows to produce 22 pounds of milk per day. RFQ in MIRG plots was significantly higher than the other treatments in the fall of that year and in summer and fall of 2007. The plots with no management had the lowest forage quality in both years.

Researchers Oates and Jackson were also interested in whether grazing practices that improve pasture productivity forage quality may also increase storage of atmospheric carbon in the soil, also called carbon sequestration. Carbon that is sequestered offsets carbon that is released to the atmosphere through the burning of fossil fuels, agricultural practices such as tillage, and land clearing activities such as deforestation. These kinds of measurements are difficult to take, and to quantify. What they did learn is that the MIRG treatment lost significantly less carbon in 2006 as compared to all other treatments. None of the treatments sequestered carbon that year. In 2007, the MIRG treatment was the only one that sequestered carbon. Oates says, “Perennial pastures have the potential for sequestering carbon, but the import and export of all forms of carbon across the farm boundary need to be considered in order to truly understand the farm’s carbon balance.”
Oates and Jackson also wanted to see if the higher level of plant production in the MIRG treatment was due grazing impacts on plant developmental stage and plant community composition, or was due to an increase in nutrients available to plants because of manure, litter and microbial activity. After analyzing microbial populations in the top six inches of soil in the four treatments, the researchers found the different treatments had no effect on total microbial biomass.
They concluded that higher production levels in the MIRG treatment were not due to soil microbial activity. Instead, greater production was a result of grazing resetting plant development and maintaining a preferred plant community composition because livestock are grazing down all plants in a brief interval as compared to continuous grazing, when they selectively and repeatedly graze down preferred plants.
If you think you’re seeing more and better forage thanks to your Management-intensive grazing, you’re right! If you haven’t started management-intensive grazing, you might consider how doing so might change and improve your operation and increase profitability.